“药品有效性分析”的简单介绍

“药品有效性分析”功能适用于以下场景

无未观测混杂 (满足非混淆性假设)

  • 完美随机化临床试验:分配机制完全随机且混杂因素在处理组和对照组间平衡
  • 随机化试验存在非依从:部分受试者实际接受的处理与分配的处理不同
  • 随机化试验存在死亡截断:部分受试者死亡导致结果变量未被良好定义
  • 随机化试验存在结局事件缺失:随机化试验部分结局变量未被记录
  • 随机化试验同时存在结局事件缺失、非依从和死亡截断
  • 观察性研究:所有混杂因素都被收集到

存在未观测混杂 (不满足非混淆性假设)

  • 真实世界存在未观测混杂:存在未被观测到的混杂
  • 真实世界数据存在未观测混杂和死亡截断:存在未被观测到的混杂和死亡截断

操作流程

示例数据

在该平台中,为方便使用,我们提供了以下示例数据集以及使用该数据集的相应场景。

  • 白血病数据集

    本数据集来自北京大学人民医院 [1],收集了1161例接受异基因干细胞移植的白血病患者,旨在比较不同移植类型对白血病复发和死亡的影响。
    在本数据中, Z表示是否接受治疗,1表示接受治疗,0表示不接受治疗。 S为虚构变量,旨在增强示例数据的解释性。在非亦从场景中代表实际观察到的处理变量,其中1表示个体实际接受治疗,0表示个体实际未接受治疗(详情见场景2的介绍);在死亡截断场景可表示存活状态变量,1表示存活,0表示死亡(详情见场景3的介绍)。 D表示删失变量,其中1表示发生结局,0表示发生删失。 C表示多个事件种类,其中1表示发生结局,2表示发生截断事件,0表示发生删失。 Y表示二值结果,例如是否好转,1表示是,0表示否。 YMIS表示存在缺失的二值结果。 AGE表示年龄变量。 MRD表示是否有微量残留病(MRD), CR表示是否完全缓解(CR), ALL表示是否有急性淋巴细胞白血病(ALL),其中,1均表示有,0表示无。 SEX表示性别,1为男性,0为女性。 TRANSPLANTTRANSPLANT2表示移植类型,1表示单倍型,0表示全相合,其中TRANSPLANT2用于场景4的时间型结局存在非随机缺失。 TRM表示移植相关死亡状态,TRMT表示移植相关死亡时间。 RELAPSERELAPSET分别表示复发状态和复发时间。 OSOST分别表示死亡状态和死亡时间。 LFS表示无复发生存状态,LFST表示复发或者死亡时间。

    • 数据特点:存在死亡截断
  • 维他命治疗数据集

    该数据集来源于 [2], 是一项村庄内的维他命的治疗随机临床试验, 该数据包含三个变量,初始的临床试验的随机分配方案Assignment, 实际观测到的治疗方案Vitamin Assignment,以及最终的死亡结果Survival,我们假设这是一个简单的二值变量。

    • 数据特点:存在非依从情况
  • 肾病治疗数据集

    该数据集来源于北京大学第一医院,意在评估一个新疗法 (羟氯喹和肾血管紧张素-醛固酮系统抑制剂联合疗法) 相对于标准疗法对于免疫性肾病的治疗效果, 采用患者的在基线和6个月之间蛋白尿的百分比变化 (短期结果) 作为GFR下降事件 (长期结果,不容易观察) 的代理结果。

    • 数据特点:存在代理结果
  • 职业培训实验研究数据集

    该数据集来源于 [3],是一项针对弱势青少年的随机教育和就业培训计划。 其中,完整案件9240例,分配到就业团的5577例,就业团外的3663例。 在分析中,如果一个人在分配后第二年之后分析治疗效果时曾参加过培训,则我们将其视为接受了培训。 治疗组中88.8%的人实际接受了治疗,对照组的60.6%的人实际接受了治疗。 我们推断,总是接受者、遵守者和从不接受者的比例分别为 0.606、0.282 和 0.112。

    • 数据特点:存在非依从和死亡截断
  • 右心插管的治疗数据集

    该数据集来源于 [4],情景为对心脏病患者关键期进行心脏插管的生存时间的作用效果评估。 处理变量为患者是否进行了右心插管cardiohx,结果变量为患者的存活天数t3d30,其余为协变量。 为了便于进行处理效应的估计,我们仅对死亡患者做了估计,不考虑删失情况。 因为考虑到存在未观测混杂的可能,我们可以采用双阴性对照变量进行估计。

    • 数据特点:存在未观测混杂

参考文献

[1] Ma, R., Xu, L.-P., Zhang, X.-H., Wang, Y., Chen, H., Chen, Y.-H., Wang, F.-R., Han, W., Sun, Y.-Q., Yan, C.-H., Tang, F.-F., Mo, X.-D., Liu, Y.-R., Liu, K.-Y., Huang, X.-J., & Chang, Y.-J. (2021). An integrative scoring system mainly based on quantitative dynamics of minimal/measurable residual disease for relapse prediction in patients with acute lymphoblastic leukemia. In EHA Library (p. S234).

[2] Imbens, G. W., & Rubin, D. B. (2015). Causal Inference for Statistics, Social, and Biomedical Sciences. Cambridge University Press.

[3] Schochet, P. Z., Burghardt, J., Glazerman, S. (2001): National Job Corps study: The impacts of Job Corps on participants’ employment and related outcomes. Mathematica Policy Research, Washington, DC.

[4] Tchetgen, E. J. T., Ying, A., Cui, Y., Shi, X., & Miao, W. (2020). An Introduction to Proximal Causal Learning.


药品临床试验有效性统计分析规范

国家重点研发计划“面向药品现代化监管的智能化服务平台研究与应用”项目的阶段性成果——《药品临床试验有效性统计分析规范(V1.0)》于2024年11月28日正式发布。该规范由北京大学周晓华团队牵头制定,旨在规范药品临床试验中统计分析的流程和质量控制,为药品研发与监管提供权威指导。

试用范围

  • 本文件规范了临床研究中进行统计分析的分析流程以及分析中质量监督与控制相关要素。
  • 本文件适用于开展临床试验申办方、药品监管机构审评中心人员、药品监管机构评价中心人员及软件系统管理人员,在整体临床开发的背景下设计、实施、分析和评估研究产品。

规范亮点

  • 覆盖全面: 规范涵善完美随机化、非依从场景、伴发事件场景、结局事件缺失、观察性研究及真实世界数据中的复杂场景,提供针对性解决方案。

  • 创新方法: 引入主层策略、工具变量法、双稳健方法等先进技术,提高因果效应估计的稳健性。

  • 适用广泛: 支持药品申办方、监管机构和研究人员在不同试验背景下开展标准化分析。

《药品临床试验有效性统计分析规范》的发布,不仅是项目团队的重要成果,也为药品监管领域的智能化升级提供了重要支撑,课题团队将继续优化相关规范内容,助力药品监管现代化。

附:《药品临床试验有效性统计分析规范》文件内容


药物有效性评估的因果推断方法

数据和描述性结果



变量的类别


1. 数值变量
2. 分类变量

场景1. “完美随机化临床试验”的简单介绍

功能介绍

本功能基于因果分析中的潜在结果框架,在完全随机化的临床试验中估计药品的有效性。

方法介绍

本方法考虑结果变量是一般结局时间结局,详述如下。

一般结局,包括二值或连续变量

用以下符号表示观察到的变量:

  • \(Z\):处理变量; \(Z=1\) 表示处理, \(Z=0\) 表示对照
  • \(Y\):结果变量;一般结局,包括二值、定序或连续变量
  • \(X\):协变量;可能对处理分配或结果变量有影响

其他涉及到潜在结果变量:

  • \(Y(z)\):潜在结果变量,表示个体分别对应 \(Z = z~(z=0,1)\) 的潜在结果

估计目标和估计方法介绍

估计目标为平均因果作用:

$$E\{Y(1)-Y(0)\}$$

当 \(Y\) 是二值变量时,估计方法为逻辑斯蒂回归; 当 \(Y\) 是连续变量时,估计方法为线性回归。 此方法假设个体处理效应稳定性,概率规范性,非混淆性。



时间结局,可能存在右删失的时间变量

用以下符号表示观察到的变量:

  • \(Z\):处理变量; \(Z=1\) 表示处理, \(Z=0\) 表示对照
  • \(T\):时间变量,可能存在右删失
  • \(\Delta\):删失指示, \(\Delta=1\) 表示 \(T\) 是发生事件的时间, \(\Delta=0\) 表示 \(T\) 是存在删失的时间
  • \(X\):协变量;可能对处理分配或结果变量有影响

其他涉及到潜在结果变量:

  • \(T(z)\):处理 \(z\) 下的主要结局发生时间

估计目标和估计方法介绍

估计目标为: $$P\{T(1) < t \} - P\{T(0)< t \}$$ 估计方法是Cox回归。

此方法假设个体处理效应稳定性,概率规范性,非混淆性。



注释

  • 个体处理效应稳定性假设 (Stable Unit Treatment Value Assumption,SUTVA):也叫样本-策略值稳定性假设。 这假设指出,任何样本单元/个体 (例如,一位患者个体) 的潜在结果不会随分配给其他单元的处理方案而变化;并且,对于每个单元,处理水平/方案没有不同,也不会导致不同的潜在结果

  • 概率规范性 (probabilistic assignment):也称正处理概率,个体得到处理的概率严格大于0,小于1

  • 非混淆性 (unconfounded assignment):也称无未观测混杂 (no unmeasured confounders) 分配机制独立于潜在结果


场景2. “随机化试验存在非依从”的简单介绍

功能介绍

本功能基于因果分析中的潜在结果框架,在存在非依从的随机化临床试验中估计药品的有效性。 非依从(noncompliance)指的是一些样本个体没有依从原有的处理分配,而是接受了另一种处理分配。

方法介绍

本方法考虑结果变量是一般结局时间结局,详述如下。

一般结局(包括二值或连续变量)

数学符号

用以下符号表示观察到的变量

  • \(Z\):处理变量; \(Z=1\) 表示个体原本被分配到处理, \(Z=0\) 表示个体原本被分配到对照
  • \(D\):实际观察到的接受的处理变量; \(D=1\) 表示个体实际接受处理, \(D=0\) 表示个体实际接受了对照
  • \(Y\):结果变量;一般结局,包括二值或连续变量
  • \(X\):协变量;可能对处理分配或结果变量有影响

其他涉及到的潜在结果符号

  • \(D(z)\):表示处理变量的潜在实际处理情况,是一个二值变量, \(D(1)\) 表示被分配为接受处理所对应的实际处理情况, \(D(0)\) 表示被分配为接受对照所对应的实际处理情况
  • \(Y(z,D(z))\):表示被分配为处理 \(z\) 但是实际接受处理 \(D(z)\) 的潜在结果
  • \(Y(z)\):表示为被分配为处理 \(z\) 的潜在结果
  • \(G\):表示根据依从性区分的潜在人群指标. 根据 \(z\) 和 \(D(z)\) 的取值情况,将人群分为4类,即:依从者 (complier, \(co\) ),违背者 (defier, \(de\) ),总是接受治疗者 (always taker, \(at\) ),总是拒绝治疗者 (never taker, \(nt\) ),因此 \(G \in \{co,de,at,nt\}\)

估计目标和估计方法介绍

  • 方法1:意向性治疗策略 (intention-to-treat strategy)

    即不管患者的实际依从情况如何,只估计 \(Y\) 对原始随机分配的情况 \(Z\) 的处理效应,估计目标为作用在 \(Y\) 上面的平均处理效应 $$E\{Y(1)-Y(0)\}$$ 当 \(Y\) 是二值变量时,估计方法是逻辑斯蒂回归; 当 \(Y\) 是连续变量时,估计方法是最小二乘法。 此方法假设个体处理效应稳定性,概率规范性,非混淆性。该方法对原始分配有因果解释性。

  • 方法2:在治策略 (as-treated strategy)

    即不管患者在随机化阶段的分配方案,只估计 \(Y\) 对实际观测到的处理情况 \(D\) 的处理效应。估计目标为 $$E\{Y|D = 1\}-E\{Y|D = 0\}$$ 当 \(Y\) 是二值变量时,估计方法是逻辑斯蒂回归; 当 \(Y\) 是连续变量时,估计方法是最小二乘估计。 该方法可能缺乏因果解释。

  • 方法3:符合方案策略 (per-protocol strategy)

    即只对实际观测的处理与随机分配方案相同的亚组人群进行处理效应的估计。 估计目标为 $$E\{Y|Z=1,D=1\}-E\{Y|Z=0,D=0\}$$ 当 \(Y\) 是二值变量时,估计方法是逻辑斯蒂回归; 当 \(Y\) 是连续变量时,估计方法是最小二乘法。 该方法可能缺乏因果解释。

  • 方法4:主层策略 (principal stratum strategy)

    首先利用 \(Z\) 作为工具变量,分析出人群中依从者的比例,进而估计这部分人群的处理效应。 估计目标为 $$E\{Y(1) - Y(0)|G= co\}$$ 估计方法是工具变量回归 (instrumental variables regression) 中用到的2阶段最小二乘 (two-stage least-squares,2SLS) 估计。 该方法需要工具变量的 \(Z\) 的随机化, \(Z\) 和 \(D\) 的相关性,单调性假设,排他性 ( \(Y(0,d) = Y(1,d)\) )。该方法对依从者具有因果解释性。



时间结局(可能存在右删失的时间变量)

数学符号

用以下符号表示观察到的变量:

  • \(Z\):处理变量, \(Z=1\) 表示个体原本被分配到处理组, \(Z=0\) 表示个体原本被分配到对照组
  • \(D\):观察到的接受的处理变量, \(D=1\) 表示个体实际接受处理,反之 \(D=0\)
  • \(T\):从观察开始到结局时间发生或者观察终止的时间
  • \(\Delta\):删失指标, \(\Delta=1\) 表示观察期内发生结局事件, \(\Delta=0\) 表示右删失
  • \(X\):协变量,可能对处理分配或结果变量有影响

用以下符号表示潜在变量:

  • \(T(z)\):表示结局事件发生的潜在时间
  • \(T(z,D(z))\):表示被分配为处理 \(z\) 但是实际接受处理 \(D(z)\) 的潜在时间
  • \(G\):表示按照依从性区分的潜在人群指标,具体定义同前

估计目标和估计方法介绍

  • 方法1:意向性治疗策略

    即不管患者的实际依从情况如何,只估计随机分配 \(Z\) 对结局发生时间 \(T\) 的处理效应。 估计目标为 $$P\{T(1) < t\}- P\{T(0) < t\}$$ 假设 \(Z\) 是随机化的,个体处理效应稳定性,具有因果解释性。

  • 方法2:在治策略

    即不管患者原始的分配方案,只估计实际观察到的处理 \(D\) 对结局发生时间 \(T\) 的处理效应。 估计目标为 $$P\{T < t| D = 1\} - P\{T < t| D = 0\}$$ 该方法可能缺乏因果解释。

  • 方法3:符合方案策略

    即只对实际观测的处理与随机分配方案相同的亚人群进行处理效应的估计。 估计目标为 $$P\{T < t| D= 1,Z = 1\} - P\{T < t| D = 0,Z = 0\}$$ 该方法可能缺乏因果解释。

  • 方法4:主层策略

    利用 \(Z\) 作为工具变量,分析出人群中依从者的比例,进而估计这部分人群的处理效应。 估计目标为 $$P\{T(1) < t| G = co\} - P\{T(0) < t| G = co\}$$ 该方法需要工具变量的 \(Z\) 的随机化, \(Z\) 和 \(D\) 的相关性,单调性假设,排他性 ( \(T(0,d) = T(1,d)\) )。



注释

  • 个体处理效应稳定性假设 (Stable Unit Treatment Value Assumption,SUTVA):也叫样本-策略值稳定性假设。 这假设指出,任何样本单元/个体 (例如,一位患者个体) 的潜在结果不会随分配给其他单元的处理方案而变化; 并且,对于每个单元,处理水平/方案没有不同,也不会导致不同的潜在结果

  • 概率规范性 (probabilistic assignment):也称正处理概率,个体得到处理的概率严格大于0,小于1

  • 非混淆性 (unconfounded assignment):也称无未观测混杂 (no unmeasured confounders) 分配机制独立于潜在结果


场景3. “随机化试验存在死亡截断”的简单介绍

功能介绍

本功能基于因果分析中的潜在结果框架,在存在死亡截断的随机化临床试验中估计药品的有效性。 死亡截断(truncation by death)是指在评估某种处理对主要结局的因果作用时,感兴趣的主要结局被中间事件所截断,导致主要结局没有良好定义 [1]-[2]。 例如,以生活质量为结局时,死亡个体无法定义生活质量,因此结局被死亡截断。

方法介绍

本方法考虑结果变量是一般结局时间结局,详述如下。

一般结局,包括二值或连续变量

用以下符号表示观察到的变量:

  • \(Z\):处理变量; \(Z=1\) 表示个体原本被分配到处理, \(Z=0\) 表示个体原本被分配到对照
  • \(S\):存活状态变量; \(S=1\) 表示存活 (未被中间事件所截断), \(S=0\) 表示死亡 (被中间事件所截断)
  • \(Y\):结果变量;一般结局,包括二值或连续变量
  • \(X\):协变量;可能对处理分配或结果变量有影响

其他涉及到潜在结果变量:

  • \(S(z)\):处理 \(z\) 下的中间事件 (死亡) 潜在发生情况
  • \(Y(z)\):感兴趣的潜在主要结局 (为非死亡事件)。 当 \(S(z)=0\) 时, \(Y(z)\) 没有定义
  • \(Y(z,s)\):处理变量取 \(Z=z\),中间变量 (死亡) 取 \(S=s\) 时主要结局的潜在结果

针对“替代变量的主层策略”方法增加的变量

  • \(V\):替代变量;对中间事件 (死亡) 潜在发生情况有预测作用,但不会直接影响主要结局

估计目标和估计方法介绍

  • 方法1:疗法策略 (treatment policy strategy)

    疗法策略即意向性治疗策略 (intention-to-treat),评估处理方案分配对于观察到的结局的因果作用,估计目标为 $$E\{Y(1) - Y(0)\}$$ 可用 \(E\{Y|Z=1\}-E\{Y|Z=0\}\) 识别。 此方法假设个体处理效应稳定性,概率规范性,非混淆性;并且要求 \(\{Y(1),Y(0)\}\) 有定义。该方法具有因果解释性。

  • 方法2:组合策略 (composite variable strategies)

    组合策略将中间事件 (死亡) 与主要结局 (非死亡事件) 组合成单一结果变量。 如果发生了中间事件 (死亡),则定义 \(Y'(z)=0\), 如果未发生中间事件 (死亡),则定义 \(Y'(z)=Y(z)\), 然后评估处理变量对该单一结局的因果作用,估计目标为 $$E\{Y'(1)-Y'(0)\}$$ 当 \(Y(z)\) 是二值变量,1表示治疗有效,0表示治疗无效时,该策略认为在死亡个体上无疗效。 此方法假设个体处理效应稳定性,概率规范性,非混淆性。该方法具有因果解释性

  • 方法3:在治策略 (while on treatment strategies)

    在治策略的本意是采用中间事件 (死亡) 发生前的主要结局值作为最终主要结局值。 如果发生了中间事件 (死亡) \(S(z)=0\),则定义 \(Y(z)=1\), 如果未发生中间事件 (死亡),则定义 \(Y'(z)=Y(z)\), 然后评估处理变量对该结局的因果作用,估计目标为 $$E\{Y'(1)-Y'(0)\}$$ 当 \(Y(z)\) 是二值变量,1表示治疗有效,0表示治疗无效时,该策略认为在死亡个体上有疗效。 此方法假设个体处理效应稳定性,概率规范性,非混淆性。该方法具有因果解释性。

  • 方法4:假想策略 (hypothetical strategies)

    假想策略假想一个情景,在该情景中,中间事件 (死亡) 可以被控制,所有个体都不会发生中间事件,进而评估在该情景中处理变量对主要结局的因果作用。 该策略的估计目标为 $$E\{Y(1,1)-Y(0,1)\}$$ 此方法假设个体处理效应稳定性,概率规范性,非混淆性;并且要求序贯可忽略性。该方法具有因果解释性。

  • 方法5:主层策略 (principal stratum strategies)

    主层策略限制目标人群为无论是否接受处理都不会发生中间事件 (死亡) 的个体,即 \(S(1)=S(0)=1\),然后评估该主层上处理变量对主要结局的因果作用;估计目标为 $$E\{Y(1)-Y(0)|S(1)=S(0)=1\}$$ 此方法假设个体处理效应稳定性,概率规范性,非混淆性;并且要求主层可忽略性和单调性。该方法具有因果解释性。

  • 方法6:基于替代变量的主层策略

    假设主层可忽略性不成立,即 \(E\{Y(1)|S(1)=S(0)=1\} \neq E\{Y(1)|S(1)>S(0)\}\) ,不同主层的潜在主要结局均值不同。 寻找与 \(\{S(1),S(0)\}\) 直接相关,但与 \(\{Y(1),Y(0)\}\) 不相关的基线变量,估计主层 \(S(1)=S(0)=1\) 上处理变量对主要结局的因果作用,估计目标为 $$E\{Y(1)-Y(0)|S(1)=S(0)=1\}$$ 此方法假设个体处理效应稳定性,概率规范性,非混淆性;并且要求单调性,以及替代变量的相关性和排他性 [3]。该方法具有因果解释性。



时间结局,可能存在右删失的时间变量

用以下符号表示观察到的变量:

  • \(Z\):处理变量; \(Z=1\) 表示个体被分配到处理, \(Z=0\) 表示个体被分配到对照
  • \(T\):观察到的可能存在右删失的结局时间
  • \(\Delta\):删失指标, \(\Delta=1\) 表示 \(T\) 是发生结局事件的时间, \(\Delta=0\) 表示 \(T\) 是删失的时间, \(\Delta=2\) 表示 \(T\) 是中间事件 (死亡事件) 的时间
  • \(X\):协变量;可能对处理分配或结果变量有影响

其他涉及到的潜在结果:

  • \(T(z)\):处理 \(z\) 下的主要结局 (非死亡事件) 发生时间
  • \(S(z)\):处理 \(z\) 下的中间事件 (死亡事件) 发生时间

估计目标和估计方法介绍

  • 方法1:疗法策略 (treatment policy strategy)

    疗法策略即意向性治疗策略 (intention-to-treat),评估处理方案分配对于观察到的结局的因果作用,估计目标为 $$P\{T(1) < t \} - P\{T(0)< t \}$$

    此方法假设个体处理效应稳定性,概率规范性,非混淆性;并且要求 \(\{T(1),T(0)\}\) 有定义。该方法具有因果解释性。

  • 方法2:组合策略 (composite variable strategies)

    组合略策将死亡事件与主要结局组合成单一结果变量。 如果在主要结局发生前的 \(r\) 时刻发生了死亡,则定义 \(T'(z)=r\); 如果在主要结局发生前未发生死亡,则定义 \(T'(z)=T(z)\); 然后评估处理变量对该单一结局的因果作用,估计目标为 $$P\{T'(1) < t \} - P\{T'(0)< t \}$$ 此方法假设个体处理效应稳定性,概率规范性,非混淆性。该方法具有因果解释性。

  • 方法3:假想策略 (hypothetical strategies (natural))

    假想一个情景,死亡的危险率函数在处理组和对照组中相同,被控制在原对照组中的水平,而主要结局的危险率函数保持与原状态相同。 在这样假想的危险率函数下,主要结局时间为 \(T'(z)\),然后评估处理变量对该单一结局的因果作用,估计目标为 $$P\{T'(1)< t\} - P\{T'(0)< t\}$$ 此方法假设个体处理效应稳定性,概率规范性,非混淆性;并且要求序贯可忽略性。该方法具有因果解释性。

  • 方法4:假想策略 (hypothetical strategies (removed))

    假想一个情景,死亡的危险率函数在处理组和对照组中都为0,而主要结局的危险率函数保持与原状态相同。 在这样假想的危险率函数下,主要结局时间为 \(T'(z)\),然后评估处理变量对该单一结局的因果作用,估计目标为 $$P\{T'(1)< t\} - P\{T'(0)< t\}$$ 此方法假设个体处理效应稳定性,概率规范性,非混淆性;并且要求序贯可忽略性。该方法具有因果解释性。

  • 方法5:在治策略 (while on treatment strategies)

    在治策略采用死亡发生前的主要结局值作为最终主要结局值,如果发生死亡时尚未发生主要结局,则认为 \(T(z)=\infty\),然后评估处理变量对该结局的因果作用,估计目标为 $$P\{T(1)< t\} - P\{T(0)< t\}$$ 此方法假设个体处理效应稳定性,概率规范性,非混淆性。该方法具有因果解释性。

  • 方法6:主层策略 (principal stratum strategy)

    主层策略把目标人群限制在无论接受处理或对照都不会发生死亡的人群上,记为 \(LL\) 主层。 估计目标为 $$P\{T(1)< t|LL\} - P\{T(0)< t|LL\}$$ 此方法假设个体处理效应稳定性,概率规范性,非混淆性;并且要求主层可忽略性和单调性。该方法具有因果解释性。



参考文献

[1] Dawid, A. P. (2000). Causal Inference Without Counterfactuals. Journal of the American Statistical Association, 95(450), 407–427.

[2] McConnell, S., Stuart, E. A., & Devaney, B. (2008). The Truncation-by-Death Problem. Evaluation Review, 32(2), 157–186.

[3] Wang, L., Zhou, X.-H., & Richardson, T. S. (2017). Identification and estimation of causal effects with outcomes truncated by death. Biometrika, 104(3), 597–612.

注释

  • 个体处理效应稳定性假设 (Stable Unit Treatment Value Assumption,SUTVA):也叫样本-策略值稳定性假设. 这假设指出,任何样本单元/个体 (例如,一位患者个体) 的潜在结果不会随分配给其他单元的处理方案而变化;并且,对于每个单元,处理水平/方案没有不同,也不会导致不同的潜在结果

  • 概率规范性 (probabilistic assignment):也称正处理概率,个体得到处理的概率严格大于0,小于1.

  • 非混淆性 (unconfounded assignment):也称无未观测混杂 (no unmeasured confounders) 分配机制独立于潜在结果.


场景4. “随机化试验存在结局事件缺失”的简单介绍

功能介绍

本功能基于因果分析中的潜在结果框架,分析存在部分结局缺失的随机化临床试验。

1. “部分结局存在随机缺失”的方法介绍

本方法首先对存在随机缺失(missing at random)结局的数据进行处理,得到完整数据集,再利用针对完整数据集的方法进行药物有效性的分析。

本方法考虑结果变量是一般结局,详述如下。

一般结局,包括二值、定序或连续变量

用以下符号表示变量:

  • \(Z\):处理变量; \(Z=1\) 表示处理, \(Z=0\) 表示对照
  • \(Y\):结果变量;一般结局,包括二值、定序或连续变量
  • \(X\):协变量;可能对处理分配或结果变量有影响

其他涉及到的符号:

  • \(Y(z)\):潜在结果变量,表示个体分别对应 \(Z = z~(z=0,1)\) 的潜在结果

估计目标和估计方法介绍

本方法考察的因果作用参数为药品有效性的平均因果作用,估计目标为: $$E\{Y(1)-Y(0)\}$$。

  • 方法1:可用案例分析方法 (available case method)

    忽略存在缺失的数据,只使用存在完整结局的数据进行药物有效性的分析。

  • 方法2:多重填补方法 (multiple imputation method)

    对于待分析的含缺失结局的的数据独立填补 \(M\) 次,共生成 \(M\) 份完整数据, 对 \(M\) 份数据分别运用针对完整数据集的分析得到 \(M\) 个估计量, 并用Rubin组合规则将结果合并,进而得到药物的有效性分析。

  • 方法3:逆概率加权方法 (inverse probability method)

    依据个体选择进入未缺失的概率来逆加权至未缺失结局数据中,从而得到估计的原总体数据,再运用针对完整数据集的方法进行分析。

  • 方法4:双稳健方法 (doubly robust method)

    在逆概率加权方法的基础上引入结果回归模型,只要处理缺失概率模型或结果回归模型之一正确,平均因果作用估计结果就正确。



2. “仅观测到代理结局”的方法介绍

该方法结合随机化实验数据和观察性数据来估计随机化实验中的长期因果效应。 随机化临床试验往往样本量小且持续时间短。然而对于慢性疾病,其结局变量往往需要较长时间才能观察到,而这在随机临床试验中很难实现。 此前对于慢性疾病的药物疗效评估,研究者通常找到长期结局的代理指标(surrogate outcome),然后去评估药物对于代理指标的效果,以此来代替药物的长期疗效。 然而对于代理指标的因果作用并不能够完全代表药物对于长期结局的影响, 也即长期因果效应

本方法考虑结果变量是一般结局,详述如下。

一般结局,包括二值或连续变量

用以下符号表示观察到的变量:

  • \(Z\):处理变量; \(Z=1\) 表示处理, \(Z=0\) 表示对照
  • \(S\):替代变量;一般结局,包括二值或连续变量
  • \(Y\):结果变量;一般结局,包括二值或连续变量
  • \(X\):协变量;可能对处理分配或结果变量有影响

其他涉及到潜在结果变量:

  • \(Y(z)\):潜在结果变量,表示个体分别对应 \(Z = z~(z=0,1)\) 的潜在结果

估计目标和估计方法介绍

估计目标为平均因果作用,定义为:

$$E\{Y(1)-Y(0)\}$$

我们使用逆概率加权的方法来估计长期因果作用。估计公式如下: $$\tilde \tau_\text{ipw} = \dfrac{1}{n_1}\sum_{i=1}^{n_1}\left\{\dfrac{T_{i}\cdot h(X_i,S_i,T_i; \hat \kappa)}{e(X_{i}; \hat \gamma)}-\dfrac{(1 - T_{i}) \cdot h(X_i,S_i,T_i; \hat\kappa)}{1- e(X_{i}; \hat \gamma)} \right\}$$

其中 \(e(X_{i}; \hat \gamma)\) 为随机化试验数据中估计的倾向性得分, \(h(X_i,S_i,T_i; \hat \kappa) = h(X,S,T) = E[Y|X,S,T,G=1 ]\) 为估计的回归函数。



3. “时间型结局存在非随机缺失”的方法介绍

以事件发生时间为结局,如果个体被治愈,则事件发生时间为无限大,记录为删失。 本方法针对事件发生时间型结局,将因果作用分为两个部分进行研究:处理变量对治愈率的因果作用,以及不被治愈组内对生存时间的因果作用。

本方法考虑结果变量是时间结局,详述如下。

时间结局,可能存在右删失的时间变量

设 \(Z\) 为处理变量, \(B(z)\) 为治疗方案 \(z\) 下的潜在治愈状态, \(B(z)=1\) 表示不被治愈, \(B(z)=0\) 表示被治愈。 当 \(B(z)=1\),用 \(T(z)\) 表示事件发生时间。存在随机删失,被不至于的个体一定被删失。 总体人群由四部分组成:

  • UU,不被治愈组, \(B(1)=B(0)=1\)
  • UC,治疗有害组, \(B(1)=1,B(0)=0\)
  • CU,治疗有益组, \(B(1)=0,B(0)=1\)
  • CC,治愈组, \(B(1)=B(0)=0\)

在实践中,研究者首先希望知道哪种治疗方案的治愈率更高,如果两种治疗方案都无法治愈患者,则希望知道哪种治疗方案能延长生存时间。 因果作用包含两部分,一是治愈率的差异,即 $$P(B(1)=0) - P(B(0)=0)$$ 二是不被治愈组内的生存函数差异,即 $$P(T(1)>t | UU) - P(T(0)>t | UU)$$

本方法涉及两个模型:治愈率模型 (incidence model),不被治愈条件下的生存时间模型 (latency model)。用以下符号表示观察到的变量:

  • \(Z\):处理变量;如治疗方案
  • \(T\):事件发生时间(事件或删失)
  • \(\Delta\):删失指标,1表示事件,0表示删失
  • \(X\):同时存在于治愈率模型和生存时间模型中的协变量
  • \(V\):仅存在于治愈率模型中的协变量
  • \(W\):仅存在于生存时间模型中的协变量

本方法需要可忽略性,随机删失,正性,主层可忽略性。默认单调性 ( \(\rho=1\) ),在每一协变量层内,UC或CU只能存在其中之一,因此UC和CU的相关性为1。 在敏感性分析中, \(\rho=0\) 表示两种治疗方案下的潜在治愈状态相互独立,表现为UC和CU的相关性为0。 敏感性参数 \(\rho\) 可在0和1内变化,值越大表示相关性越强。

估计目标和估计方法介绍

(1) 估计

在整体人群中,每种治愈类型的比例,以及不被治愈组内的生存函数。

(2) 预测

对于给定的协变量 \((X,V,W)\),预测这一协变量层内每种治愈类型的比例,以及不被治愈组内的生存函数。



参考文献

[1] Hu,W.,Zhou,X.,& Wu,P. (2022). Identification and estimation of treatment effects on long-term outcomes in clinical trials with external observational data.


场景5. “随机化试验同时存在结局事件缺失、非依从和死亡截断”的简单介绍

功能介绍

本功能基于因果分析中的潜在结果框架,分析同时存在结局随机缺失(missing at random)、非依从和死亡截断的随机化临床试验。 非依从(noncompliance)指的是一些样本个体没有依从原有的处理分配,而是接受了另一种处理分配。 死亡截断(truncation by death)是指在评估某种处理对主要结局的因果作用时,感兴趣的主要结局被中间事件所截断,导致主要结局没有良好定义。 例如,以生活质量为结局时,死亡个体无法定义生活质量,因此结局被死亡截断。

方法介绍

本方法考虑结果变量是一般结局,详述如下。

一般结局,包括二值或连续变量

用以下符号表示观察到的变量:

  • \(Z\):处理变量; \(Z=1\) 表示个体原本被分配到处理, \(Z=0\) 表示个体原本被分配到对照
  • \(D\):实际观察到的接受的处理变量; \(D=1\) 表示个体实际接受处理, \(D=0\) 表示个体实际接受了对照
  • \(S\):存活状态变量; \(S=1\) 表示存活 (未被中间事件所截断), \(S=0\) 表示死亡 (被中间事件所截断)
  • \(Y\):结果变量;一般结局,包括二值或连续变量

其他涉及到潜在结果变量:

  • \(D(z)\):表示处理变量的潜在实际处理情况,是一个二值变量, \(D(1)\) 表示被分配为接受处理所对应的实际处理情况, \(D(0)\) 表示被分配为接受对照所对应的实际处理情况
  • \(S(z,d)\):处理 \(z\) 下的中间事件 (死亡) 潜在发生情况;在死亡截断的情况下, \(S(z;d)=1\) 表示个体存活, \(S(z;d)=1\) 表示个体在治疗分配 \(z\) 和实际治疗 \(d\) 下死亡。
  • \(Y(z,d)\):表示被分配为处理 \(z\) 但是实际接受处理 \(D(z)=d\) 的潜在结果

当结局存在缺失时,先使用多重填补方法 (multiple imputation method),方法介绍如下。

对于待分析的含缺失结局的的数据独立填补 \(M\) 次,共生成 \(M\) 份完整数据, 对 \(M\) 份数据分别运用针对完整数据集的分析得到 \(M\) 个估计量, 并用Rubin组合规则将结果合并,进而得到药物的有效性分析。

当数据完整后,用下述方法进行因果推断。

估计目标和估计方法介绍

  • 方法1:意向性治疗策略 (intention-to-treat strategy)

    即不管患者的实际依从情况如何,只估计 \(Y\) 对原始随机分配的情况 \(Z\) 的处理效应,估计目标为作用在 \(Y\) 上面的平均处理效应 $$E\{Y(1)-Y(0)\}$$ 当 \(Y\) 是二值变量时,估计方法是逻辑斯蒂回归; 当 \(Y\) 是连续变量时,估计方法是最小二乘法。 该方法可能缺乏因果解释。

  • 方法2:在治策略 (as-treated strategy)

    即不管患者在随机化阶段的分配方案,只估计 \(Y\) 对实际观测到的处理情况 \(D\) 的处理效应。估计目标为 $$E\{Y|D = 1\}-E\{Y|D = 0\}$$ 当 \(Y\) 是二值变量时,估计方法是逻辑斯蒂回归; 当 \(Y\) 是连续变量时,估计方法是最小二乘估计。 该方法可能缺乏因果解释。

  • 方法3:符合方案策略 (per-protocol strategy)

    即只对实际观测的处理与随机分配方案相同的亚组人群进行处理效应的估计。 估计目标为 $$E\{Y|Z=1,D=1\}-E\{Y|Z=0,D=0\}$$ 当 \(Y\) 是二值变量时,估计方法是逻辑斯蒂回归; 当 \(Y\) 是连续变量时,估计方法是最小二乘法。 该方法可能缺乏因果解释。

  • 方法4:两阶段最小二乘法 (2-stage least square)

    即用与内生回归量相关但与误差项不相关的变量来检测内生回归量。 分两个阶段完成:

    第一阶段:对一组工具变量进行内生回归量的回归。 这些工具变量应满足两个条件:它们必须与内生回归变量相关,并且它们必须与回归方程中的误差项不相关。 第一阶段回归的系数用于预测内生回归量。

    第二阶段:使用从第一阶段获得的内生回归量的预测值作为主回归方程中的解释变量。 然后,在 \(S=1\) 的样本中使用普通最小二乘回归来估计感兴趣的参数。

  • 方法5:主要平均因果效应 (principal average causal effect)

    限制目标人群为存活依从者( \(cl\) ),即 \(S(1)=S(0)=1;D(1)=1, D(0)=0\),然后评估该主层上处理变量对主要结局的因果作用;估计目标为 $$E\{Y(1)-Y(0)|cl\}$$



注释

  • 个体处理效应稳定性假设 (Stable Unit Treatment Value Assumption,SUTVA):也叫样本-策略值稳定性假设. 这假设指出,任何样本单元/个体 (例如,一位患者个体) 的潜在结果不会随分配给其他单元的处理方案而变化;并且,对于每个单元,处理水平/方案没有不同,也不会导致不同的潜在结果

  • 概率规范性 (probabilistic assignment):也称正处理概率,个体得到处理的概率严格大于0,小于1.

  • 非混淆性 (unconfounded assignment):也称无未观测混杂 (no unmeasured confounders) 分配机制独立于潜在结果.


场景6. “观察性研究”的简单介绍

功能介绍

本功能基于因果分析中的潜在结果框架,在观察性研究中估计药品的有效性。 观察性研究(observational study)不同于随机化试验,其分配机制是未知的函数形式。

方法介绍

本方法考虑结果变量是一般结局时间结局,详述如下。

一般结局,包括二值、定序或连续变量

用以下符号表示观察到的变量:

  • \(Z\):处理变量; \(Z=1\) 表示个体原本被分配到处理, \(Z=0\) 表示个体原本被分配到对照
  • \(Y\):结果变量;一般结局,包括二值连续变量
  • \(X\):协变量;可能对处理分配或结果变量有影响

其他涉及到潜在结果变量:

  • \(Y(z)\):潜在结果变量,表示个体分别对应 \(Z = z~(z=0,1)\) 的潜在结果

估计目标和估计方法介绍

估计目标均为平均因果作用: $$E\{Y(1)-Y(0)\}$$

为对协变量进行调整,本方法提供以下三种方案 [1]

  • 方法1:回归调整

    本方案采用 \(Y\) 对 \(Z\) 和 \(X\) 中的各协变量作回归,再将 \(Y(1)\) 和 \(Y(0)\) 的估计值相减,得到平均因果作用的估计量。 其中,连续值的 \(Y\) 采用线性回归,二值的 \(Y\) 采用逻辑斯蒂回归。 为一致地估计平均因果作用,回归模型需要被正确指定。

  • 方法2:逆概率加权 (inverse probability weighting) 调整

    本方案采用倾向得分 (propensity score) \(e(X)=P(Z=1|X)\) 的估计 \(\hat e(X)\) 的逆进行加权,得到平均因果作用的估计量。

  • 方法3:双稳健方法 (doubly robust) 调整

    本方案综合倾向得分回归,得到平均因果作用的估计量。 “双稳健”意味着只需其中一种模型正确,本估计量就是一致的。 其中倾向得分的估计可使用:

    • 逻辑斯蒂回归

      即直接作 \(Z\) 对 \(X\) 的逻辑斯蒂回归来估计 \(e(X)\)。

    • Imbens and Rubin方法 [2]

      首先进行协变量选择。 依次考虑一次、二次的项,在其中分别保留一些预先指定的协变量,并经由LR检验确定其他协变量,其中LR统计量的阈值分别为 \(C_L\) 和 \(C_Q\) 。 得到协变量后 再使用Logistics回归估计倾向得分,裁剪掉倾向得分过大或过小的观察,再构建倾向得分分层,直到每个可再分的层中的$X$足够平衡,其中检验平衡的t检验的阈值为 \(t_{\text{max}}\),可分的层最少各组人数为 \(N_{min}\) 。 最后计算最终的倾向得分和权重。

    此外,标准差的估计可使用:

    • Robust sandwich方差估计量:速度快,但保守。
    • Bootstrap方法:通过重采样估计标准差,速度较慢。


时间结局,可能存在右删失的时间变量

用以下符号表示变量:

  • \(Z\):处理变量; \(Z=1\) 表示处理, \(Z=0\) 表示对照
  • \(T\):时间变量,可能存在右删失
  • \(\Delta\):删失指示, \(\Delta=1\) 表示 \(T\) 是发生事件的时间, \(\Delta=0\) 表示 \(T\) 是存在删失的时间
  • \(X\):协变量;可能对处理分配或结果变量有影响

其他涉及到的符号:

  • 潜在结果变量 \(S_z(t)\):表示个体分别对应 \(Z = z~(z=0,1)\) 的生存曲线

估计目标和估计方法介绍

估计目标为累计发生率函数的差异

$$P\{T(1) < t \} - P\{T(0)< t \}$$

  • 方法1:逆概率加权的Kaplan-Meier估计

    先使用逻辑回归估计倾向得分,再用其确定权重并加权,得到累计发生率函数的调整的Kaplan-Meier估计。

  • 方法2:Cox回归模型

    拟合Cox回归模型,分别计算累计发生率函数的估计。



参考文献

[1] Lunceford, J. K., & Davidian, M. (2004). Stratification and weighting via the propensity score in estimation of causal treatment effects: A comparative study. Statistics in Medicine, 23(19), 2937–2960.

[2] Imbens, G. W., & Rubin, D. B. (2015). Causal Inference for Statistics, Social, and Biomedical Sciences. Cambridge University Press.

注释

  • 个体处理效应稳定性假设 (Stable Unit Treatment Value Assumption,SUTVA):也叫样本-策略值稳定性假设 这假设指出,任何样本单元/个体 (例如,一位患者个体) 的潜在结果不会随分配给其他单元的处理方案而变化;并且,对于每个单元,处理水平/方案没有不同,也不会导致不同的潜在结果

  • 概率规范性 (probabilistic assignment):也称正处理概率,个体得到处理的概率严格大于0,小于1

  • 非混淆性 (unconfounded assignment):也称无未观测混杂 (no unmeasured confounders) 分配机制独立于潜在结果


场景7. “真实世界存在未观测混杂”的简单介绍

功能介绍

本功能基于因果分析中的潜在结果框架,在存在未观测混杂的观察性研究中估计药品的有效性。 在真实世界的研究中,受限于研究条件,我们总不能收集到所有试验相关的混杂变量。 因此,当存在未观测混杂变量 \(U\) 时,非混淆性假设并不成立,不能得到平均处理效应的一致估计。 此时需要去除未观测到的混杂因素带来的偏倚,得到 \(ATE = E\{Y(1) - Y(0)\}\) 的一致估计量。

方法介绍

本方法考虑结果变量是一般结局,详述如下。

一般结局,包括二值或连续变量

用以下符号表示观测到的变量:

  • \(Z\):处理变量; \(Z=1\) 表示处理, \(Z=0\) 表示对照 (control)
  • \(Y\):结果变量;一般结局,包括二值或连续变量
  • \(X\):协变量;可能对处理分配或结果变量有影响

针对工具变量法 (instrument variables method),追加定义下述变量

  • \(A\):工具变量

针对阴性对照法 (negative control method),追加定义下述变量

  • \(V\):阴性处理变量 (treatment-inducing proxy variable,negative control exposure)
  • \(W\):阴性结果变量 (outcome-inducing proxy variable,negative control outcome),因为 \(W\) 发生在处理后,所以 \(W\) 可以被写为潜在结果 \(W(z,v)\)

其他涉及到的潜在结果变量:

  • \(Y(z)\):潜在结果变量,表示个体分别对应 \(Z = z\) 的潜在结果
  • \(Y(z,v)\):潜在结果变量,表示个体分别对应 \(Z = z,V = v\) 的潜在结果

估计目标和估计方法介绍

  • 方法1:工具变量法

    工具变量是指与处理变量 \(Z\) 有因果关系但是和未观测混杂 \(U\) 和潜在结果 \(Y(x)\) 没有因果关联的变量。 本模块假设工具变量为二值变量 (连续工具变量的解释请见 [1])。

    使用该方法需要满足的基本假设有:

    • 相关性 (Relevance): \(E\{Z(1) - Z(0)\} \neq 0\)
    • 随机性 (Randomization): \(A \bot (Z(a),Y(a,x):a,x = 0,1)\)
    • 排他性 (Exclusion restriction): \(Y(a,z) = Y(z)\)
    • 单调性 (Monotonicity): \(Z(1) > Z(0)\)

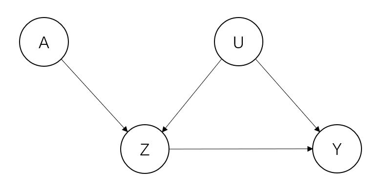
    该方法的因果图如下:

    • 估计目标

      在工具变量的假设下,估计目标为局部平均处理效应 (Local average treatment effect,LATE),即依从者处理效应。 估计目标为 $$LATE = E\{Y(1) - Y(0)| Z(1) >Z(0)\}$$

      当满足同质性假设时,这种方法可以识别出全人群的平均处理效应,估计目标为 $$ATE = E\{Y(1) - Y(0)\}$$

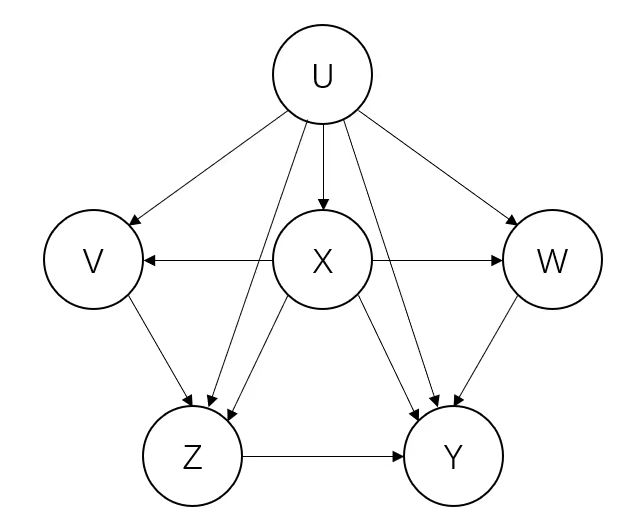
  • 方法2:双阴性对照变量 (double negative control)

    该方法是指用阴性对照暴露变量阴性对照结果变量分析 \(Z\) 对 \(Y\) 的平均处理效应

    该方法要满足的基本假设为:

    • \((Y(z,v),W(z,v)) \bot (Z,V)| U,X\)
    • 连接函数 (confounding bridge function):存在 \(h(x,w)\) 是积分方程 \(E(Y|z,v,x) = \sum_wh(z,x,w)f(w|z,x,v)\) 的解
    • 完备性假设 (completeness): \(E\{g(U)|z,v,x\} = 0\) 当且仅当 \(g(U) = 0\) ,也即要求 \(U\) 的变异能够充分被 \(V\) 和 \(W\) 捕捉

    该方法的因果图如下:

    • 估计目标 该方法的估计目标为 估计目标为 $$ATE = E\{Y(1) - Y(0)\}$$


[1] Angrist, J. D., Imbens, G. W., & Rubin, D. B. (1996). Identification of Causal Effects Using Instrumental Variables. Journal of the American Statistical Association, 91(434), 444–455.


场景8. “真实世界数据存在未观测混杂和死亡截断”的简单介绍

功能介绍

本功能基于因果分析中的潜在结果框架,在存在死亡截断和未观测混杂的观察性研究中药品的有效性。 死亡截断是指在评估某种处理对主要结局的因果作用时,感兴趣的主要结局被中间事件所截断,导致主要结局没有良好定义 [1]-[2]。 例如,以生活质量为结局时,死亡个体无法定义生活质量,因此结局被死亡截断。

方法介绍

本方法考虑结果变量是一般结局,详述如下。

用以下符号表示观察到的变量:

  • \(Z\):处理变量; \(Z=1\) 表示个体原本被分配到处理, \(Z=0\) 表示个体原本被分配到对照
  • \(S\):存活状态变量; \(S=1\) 表示存活 (未被中间事件所截断), \(S=0\) 表示死亡 (被中间事件所截断)
  • \(Y\):结果变量;一般结局,包括二值或连续变量
  • \(X\):协变量;可能对处理分配或结果变量有影响
  • \(V\):替代变量;对中间事件 (死亡) 潜在发生情况有预测作用,但不会直接影响主要结局

其他涉及到潜在结果变量:

  • \(S(z)\):处理 \(z\) 下的中间事件 (死亡) 潜在发生情况
  • \(Y(z)\):感兴趣的潜在主要结局(为非死亡事件)。 当 \(S(z)=0\) 时, \(Y(z)\) 没有定义

估计目标和估计方法介绍

本方法考察的因果作用参数为对照组上的幸存者平均因果作用 (survivor average causal effect) $$E[Y(1)-Y(0)|S(1)=S(0)=1,Z=0]$$ 其中,目标人群为对照组上的幸存者 \(\{S(1)=S(0)=1,Z=0\}\),即无论是否接受处理都将存活 (都不会被伴发事件所截断) 的个体,在单调性假设下,也就是对照组上的存活者。

寻找与 \(S(0)\) 直接相关、但与 \(\{Y(1),Y(0)\}\) 不相关的基线变量。 此方法假设个体处理效应稳定性,概率规范性,潜在可忽略性 (在幸存者中满足无混淆性); 并且要求单调性,以及替代变量的相关性和排他性 [2]



参考文献

[1] Dawid, A. P. (2000). Causal Inference Without Counterfactuals. Journal of the American Statistical Association, 95(450), 407.

[2] Deng Y,Chang Y,Zhou XH. (2021). Causal Inference with Truncation-by-Death and Unmeasured Confounding. 1–25. http://arxiv.org/abs/2109.13623

注释

  • 个体处理效应稳定性假设 (Stable Unit Treatment Value Assumption,SUTVA):也叫样本-策略值稳定性假设 这假设指出,任何样本单元/个体 (例如,一位患者个体) 的潜在结果不会随分配给其他单元的处理方案而变化;并且,对于每个单元,处理水平/方案没有不同,也不会导致不同的潜在结果

  • 概率规范性 (probabilistic assignment):也称正处理概率,个体得到处理的概率严格大于0,小于1


完美随机化临床试验(二值、连续结局)

预览数据

注意:以下只显示数据前6行,全部数据详见“数据”页面。

因果推断的估计结果



完美随机化临床试验(时间结局)

预览数据

注意:以下只显示数据前6行,全部数据详见“数据”页面。

因果推断的估计结果


随机临床试验中存在非依从(二值、连续结局)

预览数据

注意:以下只显示数据前6行,全部数据详见“数据”页面。

因果推断的估计结果



随机临床试验中存在非依从(时间结局)

预览数据

注意:以下只显示数据前6行,全部数据详见“数据”页面。

因果推断的估计结果


随机临床试验中存在死亡截断(二值、连续结局)

预览数据

注意:以下只显示数据前6行,全部数据详见“数据”页面。

1 因果推断的估计结果(不基于替代变量)


2 因果推断的估计结果(基于替代变量)



随机临床试验中存在死亡截断(时间结局)

预览数据

注意:以下只显示数据前6行,全部数据详见“数据”页面。

因果推断的估计结果


随机化试验部分结局存在随机缺失(二值、连续结局)

预览数据

注意:以下只显示数据前6行,全部数据详见“数据”页面。

因果推断的估计结果



随机化试验中仅观测到代理结局(二值、连续结局)

预览数据

注意:以下只显示数据前6行,全部数据详见“数据”页面。

因果推断的估计结果



随机化试验中时间型结局存在非随机缺失(时间结局)

预览数据

注意:以下只显示数据前6行,全部数据详见“数据”页面。

因果推断的估计结果



随机化试验同时存在结局随机缺失、非依从和死亡截断(二值、连续结局)

预览数据

注意:以下只显示数据前6行,全部数据详见“数据”页面。

因果推断的估计结果



观察性研究(二值、连续结局)

预览数据

注意:以下只显示数据前6行,全部数据详见“数据”页面。

因果推断的估计结果

Loading...


观察性研究(时间结局)

预览数据

注意:以下只显示数据前6行,全部数据详见“数据”页面。

因果推断的估计结果



真实世界数据存在未观测混杂(二值、连续结局)

预览数据

注意:以下只显示数据前6行,全部数据详见“数据”页面。

因果推断的估计结果



真实世界数据存在未观测混杂和死亡截断(二值、连续结局)

预览数据

以下只显示数据前6行,全部数据详见“数据”页面。

结果1. 真实世界研究中存在死亡截断结局时的因果作用估计


Loading...

结果2. 针对无差异替代假设的敏感性分析